服务热线:0851-86889017

当前位置:首页 :   教育资讯 >

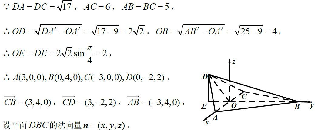
2018届高三年级第一学期期末监测考试试卷数学理科参考答案

发布日期:2018-01-24 【

阅读

上一篇:高考600分和400分的差距,就是这四点!细思极恐!

下一篇:贵阳市云岩区勤渊培训学校.中高考新课标冲刺专家

关于我们
机构简介
铭师堂辉煌
铭师堂题名
教育资讯
培训课程
在线留言
在线留言

备案号:黔ICP备20000399号-1 咨询电话:131 2467 7881 0851-86889017
网站直达号ID:13124677881 访问统计:  浏览总量787322次 /今日浏览2533次
网址:www.bdmst.cn     http://13124677881.wangid.com
建议(1024*768) IE8.0以上浏览器浏览本站 即时通管理  后台登录 Powered by WangID 驰通集团   触屏版电脑版 本站已支持 IPV6

贵公网安备 52010302001330号

免责申明:本站点部分内容素材来源于互联网,如有侵权请联系站点负责人,我们将第一时间删除。

微信关注我们

联系地址:贵阳市云岩区宝山北路180号师大嘉信华庭三楼

在线客服

1

在线留言

手机微网

微信扫描关注

手机APP

扫描下载安卓APP

分享

搜索

返回顶部

×

网搜

直达
- - - 找到你,原来如此简单! - - -
×

您好,有需要了解的请咨询我们!

+ 0851-86889017

×

请输入电话,即刻联系您!
看不清,点击换图片

该通话对您免费,请放心接听!

×