
5人精品定制.精准提升 . 拒绝喧嚣浮华的大班
A.高三5人精品全托/高三5人精品复读班B.高三艺考5人精品全托班C.中高考白金一对一全托
D. 高一高二VIP5人精品班/初三VIP5人精品贵阳高三全托
请点击:【5人精品定制精准提升】VIP5人精品高三全托班(贵阳市教育局批准成立的中高考补习学校)
5人精品定制.精准提升 .拒绝喧嚣浮华的大班
高中物理答题技巧也是很重要的,无论是选择题还是大题,都是有一定诀窍的,今天就给同学们分享一下针对各种题型的偷分技巧。掌握之后每次考试都能用哦!
高中物理
01
选择题解题技巧
(一)特殊值代入法
有些选择题选项的代数表达式比较复杂,需经过比较繁琐的公式推导过程,此时可在不违背题意的前提下选择一些能直接反应已知量和未知量数量关系的特殊值,代入有关算式进行推算,依据结果对选项进行判断.
例1 如图1所示,细线的一端系一质量为m的小球,另一端固定在倾角为θ的光滑斜面体顶端,细线与斜面平行.在斜面体以加速度a水平向右做匀加速直线运动的过程中,小球始终静止在斜面上,小球受到细线的拉力FT和斜面的支持力FN分别为(重力加速度为g)( )
图1
A.FT=m(gsin θ+acos θ),FN=m(gcos θ-asin θ)
B.FT=m(gcos θ+asin θ),FN=m(msin θ-acos θ)
C.FT=m(acos θ-gsin θ),FN=m(gcos θ+asin θ)
D.FT=m(asin θ-gcos θ),FN=m(gsin θ+acos θ)
技法运用 一般的求解方法是分解力或加速度后,再应用牛顿第二定律列式求解,其实应用特殊值代入法更简单,当加速度a=0时,小球受到细线的拉力FT不为零也不可能为负值,所以排除选项C、D;当加速度a=g/tanθ时,小球将离开斜面,斜面的支持力FN=0,排除选项B,故选项A正确.
答案 A
方法感悟 这种方法的实质是将抽象、复杂的一般性问题的推导、计算转化成具体的、简单的特殊性问题来处理,以达到迅速、准确解题的目的.
(二)“二级结论”法
“二级结论”是由基本规律和基本公式导出的推论.熟记并巧用一些“二级结论”可以使思维过程简化,节约解题时间.非常实用的二级结论有:(1)等时圆规律;(2)平抛运动速度的反向延长线过水平位移的中点;(3)不同质量和电荷量的同性带电粒子由静止相继经过同一加速电场和偏转电场,轨迹重合;(4)直流电路中动态分析的“串反并同”结论;(5)平行通电导线同向相吸,异向相斥;(6)带电平行板电容器与电源断开,改变极板间距离不影响极板间匀强电场的强度等.
二级结论大全:全年级适用高中物理二级结论:掌握就能用,考试省时20分钟
例2(多选)如图2所示,一端接有定值电阻的平行金属轨道固定在水平面内,通有恒定电流的长直绝缘导线垂直并紧靠轨道固定,导体棒与轨道垂直且接触良好.在向右匀速通过M、N两区的过程中,导体棒所受安培力分别用FM、FN表示.不计轨道电阻,以下叙述正确的是( )
图2
A.FM向右
B.FN向左
C.FM逐渐增大
D.FN逐渐减小
技法运用 根据直线电流产生磁场的分布情况知,M区的磁场方向垂直纸面向外,N区的磁场方向垂直纸面向里,离导线越远,磁感应强度越小.当导体棒匀速通过M、N两区时,感应电流的效果总是反抗引起感应电流的原因,故导体棒在M、N两区运动时,受到的安培力均向左,故选项A错误,选项B正确;导体棒在M区运动时,磁感应强度B变大,根据E=Blv,I=E/R及F=BIl可知,FM逐渐增大,故选项C正确;导体棒在N区运动时,磁感应强度B变小,根据E=Blv,I=E/R及F=BIl可知,FN逐渐减小,故选项D正确.
答案 BCD
方法感悟 本题也可根据楞次定律判断感应电流的方向,再利用左手定则判断安培力的方向,用安培力公式分析安培力大小变化,也可得出结果,但相比应用楞次定律的二级结论慢多了.
(三)逆向思维法
在解决某些物理问题的过程中直接入手有一定的难度,改变思考问题的顺序,从相反的方向进行思考,进而解决问题,这种解题方法称为逆向思维法.逆向思维法的运用主要体现在可逆性物理过程中(如运动的可逆性、光路的可逆性等),也可运用反证归谬法等,逆向思维法是一种具有创造性的思维方法.
例3 如图3所示,将一篮球从地面上方B点斜向上抛出,刚好垂直击中篮板上A点,不计空气阻力.若抛射点B向篮板方向移动一小段距离,仍使抛出的篮球垂直击中A点,则可行的是( )
图3
A.增大抛射速度v0,同时减小抛射角θ
B.减小抛射速度v0,同时减小抛射角θ
C.增大抛射角θ,同时减小抛出速度v0
D.增大抛射角θ,同时增大抛出速度v0
技法运用 篮球做斜上抛运动,末速度为垂直竖直篮板沿水平方向,可以将该过程逆向处理为平抛运动.当B点向篮板方向移动一小段距离后,由于A、B点间竖直高度不变,为使篮球飞经B点,从A点飞出的水平速度应该小一点,若水平速度减小,则落到B点的速度变小,但与水平面的夹角变大.因此只有增大抛射角,同时减小抛出速度,才能使抛出的篮球仍垂直打到篮球上.
答案 C
方法感悟 将斜抛运动通过逆向思维处理为平抛运动,从而降低解题的难度.
(四)等效替换法
等效替换法是把陌生、复杂的物理现象、物理过程在保证某种效果、特性或关系相同的前提下,转化为简单、熟悉的物理现象、物理过程来研究,从而认识研究对象本质和规律的一种思想方法.等效替换法广泛应用于物理问题的研究中,如:力的合成与分解、运动的合成与分解、等效场、等效电源等.
例4 由消防水龙带的喷嘴喷出水的流量是0.28 m3/min,水离开喷口时的速度大小为16 m/s,方向与水平面夹角为60°,在最高处正好到达着火位置,忽略空气阻力,则空中水柱的高度和水量分别是(重力加速度g取10 m/s2)( )
A.28.8 m、1.12×10-2 m3
B.28.8 m、0.672 m3
C.38.4 m、1.29×10-2 m3
D.38.4 m、0.776 m3
技法运用 对倾斜向上的水柱,逆向思考为平抛运动,则喷口处竖直分速度为v2=vsin 60°=24 m/s,所以水柱的高度h=28.8 m,时间t=v2/g=2.4 s,即空中水量V=Qt=0.28/60×2.4 m3=1.12×10-2 m3,故正确选项为A.
答案A
方法感悟 水柱在空中运动的速度、水柱的粗细均不相同,所以直接求水柱的水量有困难,本题若用水柱的水量与2.4 s内喷口喷出的水量相等,则空中水量大小就很容易求解了.
(五)估算法
有些选择题本身就是估算题,有些貌似要精确计算,实际上只要通过物理方法(如:数量级分析),或者数学近似计算法(如:小数舍余取整),进行大致推算即可得出答案.估算是一种科学而有实用价值的特殊方法,可以大大简化运算,帮助考生快速地找出正确选项.
例5 卫星电话信号需要通过地球同步卫星传送.如果你与同学在地面上用卫星电话通话,则从你发出信号至对方接收到信号所需最短时间最接近于(可能用到的数据:月球绕地球运动的轨道半径约为3.8×105 km,运行周期约为27天,地球半径约为6 400 km,无线电信号的传播速度为3×108 m/s)( )
A.0.1 s B.0.25 s
C.0.5 s D.1 s
答案 B
方法感悟 此题利用估算法,把小数舍余取整,相差较大的两个量求和时舍去小的那个量,并未严格精确计算也可快速得出正确选项.
(六)类比分析法
所谓类比分析法,就是将两个(或两类)研究对象进行对比,分析它们的相同或相似之处、相互的联系或所遵循的规律,然后根据它们在某些方面有相同或相似的属性,进一步推断它们在其他方面也可能有相同或相似的属性的一种思维方法.在处理一些物理背景很新颖的题目时,可以尝试着使用这种方法.
例6 两质量均为M的球形均匀星体,其连线的垂直平分线为MN,O为两星体连线的中点,如图1所示,一质量为m的小物体从O点沿着OM方向运动,则它受到的万有引力大小的变化情况是( )
图1
A.一直增大
B.一直减小
C.先增大后减小
D.先减小或增大
技法运用 由于万有引力定律和库仑定律的内容和表达式的相似性,故可以将该题与电荷之间的相互作用类比,即将两个星体类比于等量同种电荷,而小物体类比于异种电荷.由此易得C选项正确.
答案 C
方法感悟 两个等质量的均匀星体中垂线上的引力场分布情况不熟悉,但等量同种电荷中垂线上电场强度大小分布规律我们却很熟悉,通过类比思维,使新颖的题目突然变得似曾相识了.
(七)极限思维法
将某些物理量的数值推向极值(如设动摩擦因数趋近零或无穷大、电源内阻趋近零或无穷大、物体的质量趋近零或无穷大、斜面的倾角趋于0°或90°等),并根据一些显而易见的结果、结论或熟悉的物理现象进行分析和推理的一种办法.
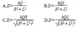
例7 如图1所示,一半径为R的绝缘环上,均匀地带电荷量为Q的电荷,在垂直于圆环平面的对称轴上有一点P,它与环心O的距离OP=L.静电力常量为k,关于P点的场强E,下列四个表达式中有一个是正确的,请你根据所学的物理知识,通过一定的分析,判断正确的表达式是( )
图1
技法运用 当R=0时,带电圆环等同一点电荷,由点电荷电场强度计算式可知在P点的电场强度为
,将R=0代入四个选项,只有A、D选项满足;当L=0时,均匀带电圆环的中心处产生的电场的电场强度为0,将L=0代入选项A、D,只有选项D满足.
答案 D
方法感悟 有的问题可能不容易直接求解,但是当你将题中的某物理量的数值推向极限时,就可以对这些问题的选项是否合理进行分析和判断.
(八)对称思维法
对称情况存在于各种物理现象和物理规律中,应用这种对称性可以帮助我们直接抓住问题的实质,避免复杂的数学演算和推导,快速解题。
例8 下列选项中的各1/4圆环大小相同,所带电荷量已在图中标出,且电荷均匀分布,各1/4圆环间彼此绝缘.坐标原点O处电场强度最大的是( )
技法运用 设1/4圆环的电荷在原点O产生的电场强度为E0,根据电场强度叠加原理,在坐标原点O处,A图场强为E0,B图场强为√2E0 ,C图场强为E0,D图场强为0,因此本题答案为B.
答案B
方法感悟 利用对称性,只计算抵消后剩余部分的场强,这样可以明显减少解答运算量,做到快速解题.
(九)比较排除法
通过分析、推理和计算,将不符合题意的选项一一排除,最终留下的就是符合题意的选项.如果选项是完全肯定或否定的判断,可通过举反例的方式排除;如果选项中有相互矛盾或者是相互排斥的选项,则两个选项中只可能有一种说法是正确的,当然,也可能两者都错.
例9 如图2所示,等腰直角区域EFG内有垂直纸面向里的磁感应强度为B的匀强磁场,直角边EF长度为2L.现有一电阻为R的闭合直角梯形导线框ABCD以恒定速度v水平向右匀速通过磁场.t=0时刻恰好位于图示位置(即BC与EF在一条直线上,且C与E重合),规定导线框中感应电流沿逆时针方向时为正,则感应电流i与时间t的关系图线正确的是( )
图2
技法运用 如图所示,从t=0时刻到t=2L/V时刻,穿过闭合回路的磁通量增大,由楞次定律可得:流过闭合回路的电流方向沿逆时针方向,结合题意和四个答案可排除答案A.当t=L/V,电流大小为i=BLV/R;当t=2L/V时且CD边刚要离开磁场还未离开磁场时,电流大小为i=BLV/R,排除答案B和D.综合上面分析可得:本题答案选C.
答案 C
方法感悟 我们利用排除法求解本题时,不需要对导线框的具体运动过程进行分析,只需要抓住导线框在某一时刻的情况进行排除,这样可以节省做题时间,提高做题效率.排除法是求解选择题的好方法,同学们平时要注意灵活应用.
02
大题答题模板
物理大题四大命题特点
1.高考物理大题均出现在力学、电磁学两部分,围绕中学物理的主干知识:受力分析、牛顿定律、动能定理、能量及能量守恒等进行考查,内容主要涉及相对运动、追及问题、连接体模型、弹簧模型、传送带问题、带电粒子在电场、磁场、电磁场中的运动等。
物理实验题命题基本上都侧重在三个方面:①基本仪器的使用和读数技巧;②基本的实验数据处理;③简单的实验设计。
2.几乎所有的高考物理大题均体现出“四多”(多对象、多过程、多变量、多解法)的特点,试题常常通过创新情境、给学生阅读、理解、解答设置一定障碍,提高思维难度,以达到选
拔之功效、同时试题常常广泛联系STS(科学、技术、社会)。
3.由于高考理综大题一般过程多,评分标准是分步给分,只有基础知识扎实,思维敏捷的考生方能完整、准确作答,这样既拉开了档次又避免了过分失分,降低了难度。
4.无论整体难度如何,就每一步求解来说,仍然是我们熟悉的基本原理、基本公式、基本模型等。
大题满分模板
(1)以“三法”对“四多”
①多物体——化整为零、各个击破
整体是个体的集合,先分而析之,即通过分析知道各单个物体或单个过程的运动情况,再综而合之,则整体的运动情况、运动过程就不难得出。
②多过程、多变量——分步求解、循序渐进法
循时间先后之“序”,将多个物理过程划分成单个物理过程,在每一个过程中运用其所遵循的规律,用已知与所求物理量列出对应的关系式,最后联立求解得出结果的一般表达式(并验证其是否合理),最后代入数值得出结果。
③多解法——优化组合法
根据求解问题的各种方法结合试题特点,用尽可能简单的方法求解。组合的选择取决于平时对规律的理解与掌握程度,所谓“功到自然成”,无捷径可循。
(2)掌握技巧过“三关”
①审题关
审题时要做到“眼明、心细、手勤、意会”。即细心地读题、审题,对一些关键字眼(如“轻”“小”“恰能”等),已知条件及其他通过图像、文字等表现出的信息要了解清楚,关键处可做上必要记号(注:不能在答题卡上做记号),并从中挖掘出隐含条件;在此基础之上,全面准确领会题意,理解物理情景、物理过程,然后设定变量,联系原理、模型,建立方程。
②叙述关,叙述贵“准、简”,即言简意赅。
一般要掌握以下叙述要素:一是指明研究对象,如“以……为研究对象”等;二是指明研究过程,如“物体从……到……的过程中”“带电粒子在磁场中运动时”等;三是重要的原理、依据,如“根据牛顿运动定律”等;四是解释解题过程中用到的、题目中未涉及的物理量的物理意义,如“设……”“求得……的大小为”等。
③规范关,一般做到“六规范”
即:一是规范叙述;二是规范作图;三是规范方程式;四是规范运算过程;五是规范符号书写;六是规范结果与单位:数值运算结果要注意有效数字的位数,单位要用国际单位制中规定的符号,某些物理量的单位要避免混淆。
写在最后:
如果觉得本文有用,请在右下角点个赞与在看,及时分享给需要的人。
(贵阳市云岩区勤渊培训学校)成立于2010年(民办批准文号:252010372019749)。 下设三个业务方向:全日制中高考全托5人精品班、复读补习5人精品班,初高中各科强化5人精品班,一对一个性化教育中心,年培训高考学生数以千计,强大的师资团队构筑了学子成就梦想的坚强后盾。
01班型设置
1)VIP白金一对一精品班
2)VIP五人精品强化班
实力告诉您,为什么选择在:
贵阳市勤渊培训学校?
报名方式
微信,电话同号(13124677881,王老师)沟通咨询。
注:每班人数上限5人。
【长按二维码关注,学习路上,点亮前方】
(贵阳市云岩区勤渊培训学校)VIP5人精品班
高三5人精品全托班 高三5人精品复读班
中高考一对一全托 高考艺考文化课5人精品班
高三5人精品班:数学英语物理化学生物地理历史政治
高一5人精品班:语文数学英语物理化学
高二5人精品班:语文数学英语物理化学
初一初二初三5人精品班:语文数学英语物理化学
初高中各科VIP一对一 VIP精英5人班(三人起可自行组班,自定时间 )
全学科辅导·全方位负责·横扫各科知识盲点!
一个特别能大幅度提分的学校,
一个把教学落实到每一节课的学校,
一个专注于中低分高考冲刺的学校。
打基础,改习惯,你的大幅度提分!
咨询报名热线:0851-86889017 13124677881 15185112921
【总校区地址】: 贵阳市喷水池陕西路与延安东路贵州科学院3楼
备案号:
黔ICP备20000399号-1 咨询电话:131 2467 7881 0851-86889017 网站直达号ID:13124677881 访问统计: 浏览总量787239次 /今日浏览2450次 网址:www.bdmst.cn http://13124677881.wangid.com建议(1024*768) IE8.0以上浏览器浏览本站 即时通管理 后台登录 Powered by WangID 驰通集团 触屏版丨电脑版 本站已支持 IPV6
微信关注我们